전화 연결하기

서울
1811 - 8872
의정부
1811-8873
인천
1811 - 8821
수원
1811 - 0821
부산
1811 - 8872
팝업닫기

성공사례

더 나은 내일을 위한 동행, 법무법인 재현

성공사례

사업자금 대출 원금의 83% 탕감 성공!

01

사건개요

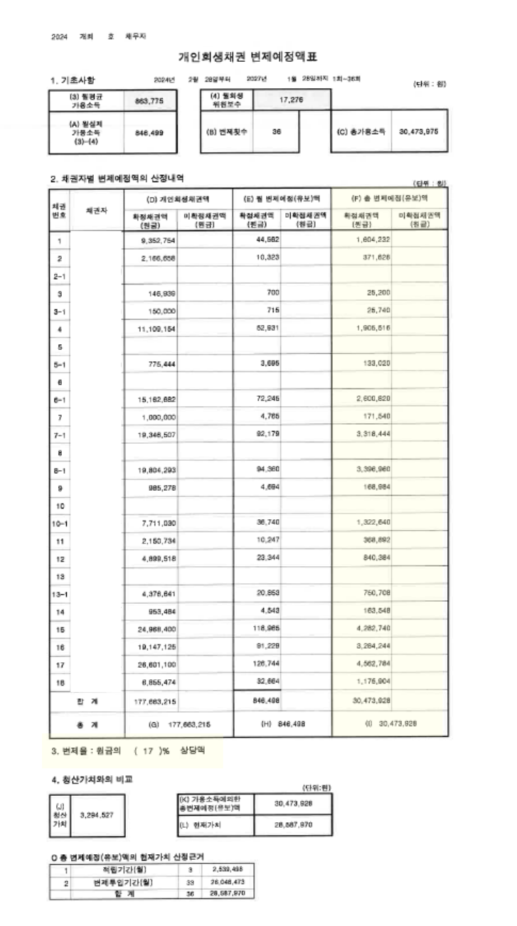
[김00님의 특이사항] 1) 받은 대출금 모두 사업자금으로 사용2) 변제율이 17%로 원금의 83%가 탕감
김00변제기간2024년 2월 ~ 2027년 1월(36개월/3년)총 채무177,663,215변제금863,775총 변제금30,473,975탕감금액147,189,240원금의 83% 탕감  김00님의 경우 대출을 받아 온라인 사업을 시작하게 되었습니다. 혼자 사업을 하다 보니 도움이 필요한 부분이 있어서 관련 업종의 직원을 고용하여 사업을 이어갔으나 점점 커져가는 외형에 비해 이익이 없었습니다. 따라서 사업을 조금 더 확장하고자 추가 대출을 받아서 운영하였습니다. 하지만 무리한 대출을 실행 후 원금 및 이자 상환이 어려워지게 되었고 사업을 유지하기도 어려워지는 상황에 이르게 되어 결국엔 사무실마저 문을 닫고 재택 사업으로 전환을 하였습니다. 한번 어려워진 사업은 좋아질 기미가 보이지 않았고 더 이상 감당할 수 없는 지경에 이르러 개인회생을 신청하게 되었습니다.

02

도산전문변호사의 대응전략

법원에서는 최근 대출금 사용처에 대한 소명을 요청하였습니다. 신청인의 경우 받은 대출금은 사무실 임대료 및 사업 유지를 위한 자금으로 사용되었습니다. 미수금 발생 경위에 대해서도 자료들을 토대로 상세히 소명하였고, 사업 자금으로 사용된 것에 대하여 도표로 정리하여 사용처를 모두 소명하였습니다. 법원에서 현재 신청인의 어려운 상황 등을 참작하여 5개월 만에 빠른 개시결정이 내려지게 되었습니다. 

03

승소결과

2023.09.18. 접수 → 2024.02.22. 개시결정
원금의 83% 탕감 성공!